0
Перейти к сравнению
Перейти в избранное

Светодиодные облучатели: из фитотрона в теплицу?

Л. Б. Прикупец, к.т.н., зав. лаб. ВНИСИ им. С. И. Вавилова, вед. консультант ООО «БЛ ТРЕЙД» А. А. Емелин, инж. ВНИСИ им. С. И. Вавилова
И. Г. Тараканов, д.б.н., проф., зав. каф. физиологии растений РГАУМСХА им. К. А. Тимирязева

До сих пор в Интернете легко можно найти застарелую информацию (характер которой даже рекламным нельзя назвать) о впечатляющих эффектах, которые достигаются заменой в теплицах светильников с натриевыми лампами (НЛВД) на светодиодные облучатели (СД) при выращивании салатных культур. Несколько статей «прорвались» в журналы, в одной из них, в частности, утверждалось, что «СДсветильники в 3 — 11 раз превосходят светильники c НЛВД по экономии электроэнергии». Ситуацию «подогревало» телевидение, несколько раз выпускавшее в эфир сюжеты, в которых демонстрировались впечатляющие результаты применения светодиодов для выращивания растений и обещались фантастические перспективы.

Отрадно отметить, что за последний годдва тон выступлений в СМИ по рассматриваемой проблеме и публикаций (в том числе зарубежных) заметно изменился; появились первые определенные результаты «пилотных» проектов с использованием СДоблучателей в теплицах. В одних из них не были получены скольконибудь заметные положительные эффекты, в других — показано, что если «забыть» о весьма высоких капитальных затратах, СДоблучатели могут вполне успешно конкурировать со светильниками с НЛВД.

Укажем сразу: даже с учетом того, что светильники с НЛВД являются высокоэффективным средством для выращивания растений, мы положительно оцениваем перспективы конкуренции с ними СДоблучателей [1]. Однако, как и большинству специалистов тепличного сообщества, нам вполне ясен здесь основной сдерживающий фактор — высокая стоимость изделий. Пока он не преодолен, необходимо (и резерв времени этому способствует!) определить возможности улучшения светотехнических параметров СДоблучателей и облучательных установок с ними с учетом видовых особенностей растений и задач их выращивания.

Мы имеем в виду, прежде всего определение благоприятного спектра СДоблучателей и уровня облученности (или удельной установленной мощности), в нашем случае, для светокультуры салата. Задача тем более оправдана, что возможности реализации требований к спектру для СДоблучателя весьма широки.

Для обеспечения фотосинтетической деятельности растений (при этом неважно, представлена хозяйственноценная часть урожая листовой биомассой или плодами), естественно предположить, что СДфитооблучатель должен преимущественно излучать в диапазонах максимального поглощения ФАР листьями с учетом максимумов спектра действия фотосинтеза в синей и красной областях. Соответствующие зависимости приведены на рис. 1.

В решении задачи поиска наиболее благоприятного спектра для определенного вида растений в настоящее время нет альтернативы экспериментальному пути, именно он должен обеспечить получение результатов, на основе которых могут быть выработаны обоснованные требования к основным светотехническим параметрам СДфитооблучателей.

Повидимому, важным и необходимым, в этой связи, явился этап пробных экспериментов, выполненных в ряде зарубежных исследовательских центров, в которых при, как правило, одном уровне освещенности (облученности) сравнивалась продуктивность салатных культур с традиционным источником света и цветными СД излучателями [2,3].Полученные при этом результаты не подтверждали радикальных преимуществ «цветных» композиций СД излучателей и не учитывали энергетических параметров облучательных установок (ОУ).

С учетом изложенного, авторами была поставлена задача провести собственные фотобиологические исследования в фитотроне кафедры физиологии растений РГАУМСХА имени К. А. Тимирязева. Важно подчеркнуть, что в описываемых ниже сравнительных физиологических исследованиях растения выращивались с использованием только источников искусственного облучения (без естественного света). Поэтому полученные данные характеризуют ответные реакции растений непосредственно на спектральные режимы, создаваемые исследуемыми облучателями.

Методика, условия исследований и используемое оборудование

План исследований предусматривал проведение фотобиологического эксперимента по классической схеме, позволяющей получить «световые кривые» продуктивности листьев салата, т. е. зависимость последней от уровня освещенности (облученности) для источников ФАР с различным спектром. С учетом минимизации затрат было решено ограничиться тремя значениями уровня освещенности (облученности) для каждого спектрального варианта и провести, соответственно, по три вегетации.

Температура в фитотроне поддерживалась в пределах 24±2 оС днем и 18±2 0С ночью, влажность воздуха 85±5%, фотопериод составлял 18 ч в сутки. Растения салата по 3 штуки выращивали на субстрате на основе нейтрализованного верхового торфа, заправленного удобрениями. Полив растений проводили ежедневно до первой капли.

Растения салата выращивали на столах размером 100×100 см каждый в специальных горшочках. В эксперименте использовали три типа облучателей: аналоги применяемым в теплицах для выращивания салата с НЛВД типа Plantastar 400 Вт и 250 Вт фирмы Osram (контроль), светильник типа ДО0180×104 Galad с белыми СД с цветовой температурой Т=5000 К и изготовленный на его основе экспериментальный облучатель с композицией красных и синих СД. В репрезентативной технологической зоне выращивания салата изменение уровня освещенности (облученности) не превышало ±10% от среднего значения.

Фото СДоблучателей приведено на рис. 2. Облучатель состоит из 4х линеек по 20 Вт каждая, общая потребляемая мощность, с учетом потерь в драйвере, 95 Вт. Угол наклона боковых модулей СДлинеек приборов ДО0180×104 может изменяться, что оказалось весьма удобным для обеспечения требуемой равномерности освещенности (облученности) на технологической поверхности. Облучатели подвешивали на необходимой высоте над поверхностью столов, высота регулировалась в пределах 50÷120 см, что позволяло обеспечить требуемый уровень освещенности (облученности).

В экспериментальном облучателе использовали СД типа XRC мощностью 1 Вт фирмы Cree красного и синего свечения, при этом доля красного излучения составляла 70% и синего — 30%. Спектры использовавшихся облучателей приведены на рис. 3.

Принципиальное отличие красносинего СДоблучателя от двух других заключается в том, что его спектр образуют две достаточно узкие полосы: 430 — 470 нм и 630680 нм, а излучение в области 500–600 нм отсутствует. Тем не менее, такое распределение излучения в области ФАР, близкое к спектру действия фотосинтеза позволяет эффективно задействовать в процессе синтеза биомассы светособирающие комплексы растений.

Растения всех исследуемых сортов салата выращивали в течение 25 дней от рассады, полученной в идентичных условиях, до готовой продукции. После окончания срока вегетации по стандартным методам определял средний сырой и сухой вес полезной биомассы (листьев).

Для исследования были отобраны 2 сорта салата: Афицион и Кармези фирмы Rijk Zwaan, отличающиеся высокой продуктивностью и используемые в промышленных теплицах. На рис. 4 приведены фото фитоустановок с различными облучателями.

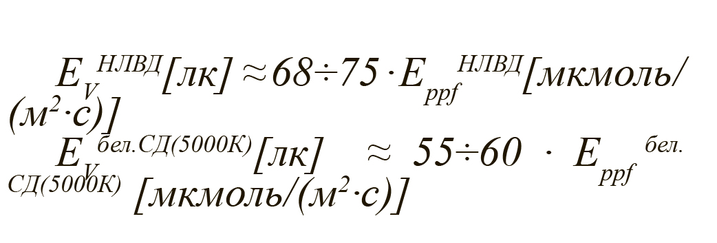
Исходя из собственных экспертных оценок и технологических требований к «салатным линиям» промышленных теплиц, для НЛВД и белых СД был принят диапазон варьирования освещенности в пределах 8÷18 килолюкс (клк). В связи с тем, что использование системы световых величин для облучателей с красносиним спектром невозможно, для измерения облученности мы пользовались фотосинтезной фотонной системой величин, получившей распространение в Нидерландах, США и ряде других стран, но в России пока еще малоиспользуемой. В этой системе величин облученность определяется как поверхностная плотность потока фотонов (квантов) в единицу времени (фотосинтезная фотонная облученность) и измеряется в единицах мкмоль/ (м2∙с). На основе анализа данных зарубежных опытов и собственных оценок в этом случае был выбран диапазон облученностей 100÷300 мкмоль/(м2∙с). Разумеется, чтобы получить данные для сравнений, фотосинтезная фотонная система, наряду со световой, использовалась для измерений облученности под облучателями с НЛВД и белыми СД. Экспериментально установленная связь между освещенностью, измеряемой в люкс (лк), и облученностью (плотностью потока фотонов), измеряемой в мкмоль/(м2∙с), определилась следующими соотношениями для облучателей с НЛВД и белыми СД:

Обсуждение результатов исследований.

Результаты исследований представлены на рис. 5 и 6 в виде серии световых кривых, связывающих продуктивность растений N с освещенностью ЕV или плотностью потока фотонов Еppf. Под продуктивностью в нашем случае понимается средняя полезная биомасса салата, получаемая с одного горшочка (четырехкратная повторность, на графиках приведены средние и стандартные ошибки).

Анализ полученных данных позволяет говорить о наличии, как общих закономерностей в реакции растений на уровень освещенности (облученности) и спектр излучения, так и различий для каждого сорта салата. Отметим, что «классический» вид (наличие выраженного максимума продуктивности) для всех сортов салата имеют только световые кривые, полученные для облучателей с НЛВД и, в какойто мере, с красносиними СД.

Несмотря на многолетнее использование облучателей с НЛВД в ОУ для светокультуры салата в литературе, практически, отсутствуют данные, обосновывающие выбор предпочтительного уровня освещенности для салатных линий в теплицах. Например, в центре России в различных тепличных хозяйствах он может колебаться от 8 до 14÷15 клк. В наших экспериментах показано, что наибольшая продуктивность всех трёх сортов салата обеспечивается при использовании облучателей с НЛВД с ЕV порядка 12 клк (~170 мкмоль/(м2∙с)), что, безусловно, представляет большой интерес для тепличных хозяйств.

В экспериментах с красносиними СД максимальная или близкая к ней продуктивность достигалась при несколько меньшей плотности потока фотонов (порядка 150 мкмоль/(м2∙с)) для обоих исследуемых сортов салата. Результаты по продуктивности, полученные при использовании излучения белых СД, уступали достигнутым с НЛВД и красносиними СД.

В целом, вариант спектра, соответствующий НЛВД, оказался более эффективным, обеспечивая самую высокую продуктивность растений. Это не совсем согласуется с распространенными представлениям, в соответствии с которыми оптимальный спектр источника излучения должен быть близок к спектру действия фотосинтеза. Напомним в связи с этим, что на процесс фотосинтеза расходуется, в лучшем случае, лишь 12% энергии поглощенного излучения в области ФАР, а продуктивность растений является сложным продуктом воздействия широкой области ОИ. В частности, весьма важным для зеленных растений, к которым относятся салатные культуры, является ближнее ИКизлучение НЛВД, поглощаемое листьями и влияющее на температуру и транспирацию последних.

Приведенные на рис. 5 и 6 зависимости продуктивности салата от спектральных характеристик и интенсивности падающего на ценоз излучения являются в известной степени «рафинированными», в том смысле, что не учитывают энергетических затрат, необходимых для обеспечения определенного уровня освещенности (облученности) в ОУ.

Задача практического использования результатов исследования делает необходимым выполнение соответствующих расчетных оценок для основных сравниваемых вариантов, то есть, облучателей с НЛВД и красносиними СД.

Соответствующие оценки выполняли на основе соотношения:

где P1 — установленная удельная энергетическая мощность ОУ в теплице, Вт/м2; Еppf — плотность потока фотонов, мкмоль/(м2∙с); H — фотосинтезный фотонный поток источника излучения, отнесенный к сумме электрической мощности лампы и активных потерь в ПРА (фотосинтезная фотонная отдача), мкмоль/(с∙Вт); ηОбл — к.п.д. облучателя; uОУ — коэффициент использования ОУ (доля потока облучателя, попадающая на технологическую площадь).

В расчете мы использовали самые высокие из достигнутых в настоящее время значений Н, как для НЛВД типа «PlantaStar» мощностью 600 Вт [4], так и для аналогичного параметра красносинего СД облучателя [5], а также данные по ηОбл и uОУ, достигнутые на практике.

Указанные значения приведены в табл. 1.

Вид облучателя Н, мкмоль/ (с∙Вт) η Обл uОУ
Облучатель с НЛВД 1,85 0,9 0,9
Облучатель с красносиними
СД
2,24 1 0,9

Таблица 1.Светотехнические параметры облучателей

На рис. 7 приведены зависимости N=f(P1) для двух основных сравнительных вариантов для салатов Кармези и Афицион.

Как видно, замены шкалы Еppf на шкалу P1 приводит к определенной трансформации световых кривых. Становится более очевидным, что близкие с учётом ошибки эксперимента, данные по продуктивности салатных культур могут быть получены при использова нии облучателей с красносиними СД при установлен ной мощности на 3035% меньшей, чем в случае облучателей с НЛВД. Это позволяет существенно повысить энергоэкономичность технологии светокультуры салата, где затраты на электроэнергию достигают 50% себе стоимости. Отметим, что по существующим прогнозам [5] фотонная отдача красных и синих СД в ближайшие годы может возрасти ещё на 30%, что позволит снизить удельную установленную мощность в ОУ со СД, в сравнении с НЛВД, на 4045%.

Ответ на вопрос, что препятствует, в таком случае, массовому внедрению СДоблучателей в тепличное растениеводство, очевиден. Разница в цене облучателей со СД, в сравнении с существующими облучателями с НЛВД, столь высока, что срок окупаемости подобной замены составит не менее 67 лет [6]. Финансовые события последнего времени отнюдь не улучшили эту ситуацию.

Список литературы.
1. Прикупец Л. Б. Светодиодные облучатели и перспективы их применения в теплицах. ж. «Теплицы России» № 1, 2010. с. 5255.
2. Sase S., Mito C., Okushima L., Fukuda N., Kanesaka N., Sekiguchi K., Odawara N. Effect of overnight supplemental lighting with different spectral LEDs on the growth of some leafy vegetables. Acta Horticulturae, 2012, v. 956, p. 327333.
3. Lee J.S., Lim T.G., Kim Y. H. Growth and phytochemicals in lettuce as affected by different ratios of blue to red radiation. Acta Horticulturae, 2014, v. 1037, p. 843848.
4. Лампы PlantaStar (ф. Osram), каталог, 2014 г.
5. Всё о лампах досвечивания. Тон тен Хааф, Light Interaction (Holland), доклад на научнотехническом семинаре Ассоциации «Теплицы России», г. Малоярославец, 13.03.2014 г.
6. Прикупец Л.Б., Емелин А. А. Использование облучателей на основе светодиодов для светокультуры салата: экономический аспект. «Теплицы России», 2013, № 2, с. 6668.